用上 GAN 推荐算法成精,看完视频马上刷出相关文章,微信已用上

9158APP 0

如今,推荐算法变得越来越聪明。

例如,如果您热衷于东京奥运会,观看了大量剪辑视频,App就会根据您的喜好向您推荐相同风格的文章、游戏或周边产品。

911a0fcdef0d8c00f33a54323fcd52e1.png

没错,推荐算法不再局限于一个场景,而是在视频、文章、小程序等各种场景中“打通任督二通道”,这是一种多领域的推荐算法。

但事实上,这类算法并不像想象的那么容易控制。关键在于如何捕捉不同领域目标领域的有效特征。

为了让推荐算法更懂你,腾讯微信看看团队提出了全新的多领域推荐任务模型,融合了生成对抗网络GAN、ELECTRA、知识表示学习等思想,学习不同领域之间的特征字段。 Transfer极大提升了多领域推荐算法的效果,论文已被KDD 2021收录。

8月18日,数据挖掘领域国际最高会议KDD 2021会议在线上召开。微信看看团队的郝晓波对题为《Adversarial Feature Translation for Multi-domainRecommendation》的论文进行了详细分析并分享。

6778dc8365f202ea904499039f3c929e.png

我们对论文分析做了相关总结,一起来看看吧。

推荐系统已经融入到生活的方方面面,为我们提供个性化的信息获取和娱乐。

在马太效应的影响下,谷歌、微信、推特等平台应运而生。他们往往有各种(推荐)服务,可以向用户推荐各种物品(如文章、视频、小程序等),以满足用户的需求。

用户在不同推荐服务上的行为(在用户许可的情况下)将通过用户的共享账户关联起来。

这些行为可以提供目标领域行为之外的更多信息,帮助推荐系统更全面地了解用户,有助于提高各个领域的推荐效果。

多领域推荐(MDR)的任务是根据用户在多个领域的行为和特征,同时优化多个领域的推荐效果。关键在于如何捕捉不同领域目标领域的专业特征。

一种直观的方法是将用户的多领域行为视为额外的输入特征,直接输入到排序模型中,但这种方法并没有优化领域间特征交互的建模。

另一种方法是基于多任务学习(MTL)的一些最新思想,它将某个领域的推荐视为一项任务,并取得了很好的效果。

然而,多领域推荐效果仍然受到其固有的稀疏性问题的严重限制,具体体现在两个方面:一是用户-项目点击行为的稀疏性(这是推荐系统本身的稀疏性问题);二是用户-项目点击行为的稀疏性(这是推荐系统本身的稀疏性问题);其次,跨域特征交互的稀疏性(这是多域推荐特有的稀疏问题)。

为了解决这两个问题,并使模型能够同时提高多个领域的推荐效果,论文提出了一种称为对抗特征翻译(AFT)的模型,该模型基于生成对抗网络来学习不同领域之间的特征翻译(甘)。 )。

首先,在多域生成器中,论文首先提出了一种特定域掩码编码器来强调跨域特征交互建模,然后基于Transformer 层和特定域注意层聚合这些跨域交互特征。了解用户在目标域中的表示,以生成虚假的点击项目作为鉴别器的输入。

在多域判别器中,受到知识表示学习(KRL)中基于三元组的建模方法(例如TransE)的启发,论文构建了一个两步特征转换模型,以对不同粒度下的项目和用户的偏好进行可解释的建模/不同领域。

经过在Netflix和微信多领域推荐数据集上的测试,团队发现该模型在离线和在线实验的多项结果中都取得了显着的改进。论文还进行了充分的消融实验和模型分析来验证模型。各个模块的有效性。

0c12012997a2313cd1f1d5db06af4ddf.png

图1:多领域推荐与AFT模型框架图

具体来说,如上图1所示,AFT包括特定领域的屏蔽编码器和两步特征翻译,重点关注跨领域、多粒度的特征交互建模。

在生成器部分,论文首先设计了一个特定于领域的屏蔽编码器,通过屏蔽掉目标域中的历史行为来加强“其他领域的历史行为”和“目标域中的点击行为”之间的关系。它们之间的交互特征权重驱动AFT模型根据其他领域特征学习目标领域推荐;

然后使用Transformer 层和特定于域的聚合来提取与目标域相关的用户特征,以生成top-k 假点击项。这些错误点击的item会被输入到判别器中,混淆判别器的判断,在对抗过程中相互提高各领域的推荐能力。

在判别器部分,论文受到知识表示学习模型(KRL)的启发,希望对用户、项目和领域进行显式建模。

其中,首先使用Transformer从多领域特征中提取用户的细粒度项目和粗粒度领域偏好特征,分别标记为用户项目级偏好和用户领域级偏好;

然后构造第一个三元组(用户项目级偏好、用户域级偏好、用户一般偏好),进行第一次特征迁移,学习用户一般偏好特征(用户一般偏好)。第一个三元组的物理意义是,对于(哈姆雷特、作家、莎士比亚)三元组关系,存在哈姆雷特+作家=莎士比亚(以KRL中的经典模型TransE为例)。

在多领域推荐中,用户在不同粒度上的偏好之和(项目级偏好+领域级偏好)近似等于用户的通用领域偏好(用户通用偏好)。因此,本步骤可以获取用户的一般领域偏好。

然后,本文再次构造第二个三元组(用户一般偏好、目标域信息、用户特定域偏好)以执行第二次特征迁移。第二个三元组的物理意义是用户的一般领域偏好+目标领域的特征=用户在目标领域的偏好(用户特定领域的偏好)。

论文基于成熟的知识表示学习模型ConvE进行两步特征翻译后,获得用户在目标领域的表示并用于推荐。

首先,AFT的GAN框架借助特定领域的masked编码器,提供了充足且高质量的多域推荐负例,缓解了数据稀疏和过拟合的问题;

其次,生成器中的特定领域屏蔽编码器可以加强模型的跨域特征交互,这是多领域推荐的核心要素;

第三,判别器中的两步特征转换提供了一种大胆、明确且可解释的方式来对用户、项目和领域进行建模,从而提供对多领域推荐的更深入理解。

该团队将AFT 模型与离线和在线的多个竞争基线模型进行了比较。结果表明,AFT 模型在多个领域显着优于所有基线。此外,团队还进行了详细的消融实验和模型分析实验,加深对AFT各个模块和参数的理解。

目前,AFT模型已投入使用——个,并已部署在微信看看多领域推荐场景,服务千万用户。论文本身的贡献如下:

针对多领域推荐问题,提出了一种新的AFT框架,该框架首次在多领域推荐中引入了对抗条件下的特征迁移。

提出了一种GAN框架下的特定领域屏蔽编码器,可以针对跨域特征交互进行专门增强。

设计了两阶段特征迁移策略,尝试利用结构化知识表示学习的建模方法来学习用户多粒度、多领域偏好、项目和领域之间可解释的迁移关系。

AFT在线下实验均取得了显着提升,并已部署在微信看一看系统中。

如上所述,AFT模型基于GAN训练框架,主要分为生成器和判别器两部分。

如下图2所示,生成器输入用户多领域行为特征,基于领域特定屏蔽编码器、Transformer层和领域特定注意力,提取与目标领域相关的用户特征并用于生成top-k假点击的项目。项目)。判别器基于两阶段特征转移,获得用户向量,然后预测真/假点击项目的分数。

6191762aa718d4beaca48f9f80b6d131.png

图2:AFT具体模型,包括(a)多域生成器和(b)多域判别器

让我们详细看看。

多域生成器的目标是为用户在每个域上生成假点击项,其输入是用户在所有n 个域上的行为序列X={X_1, …, X_n},其中X_t 是第t 个域行为序列特征矩阵上。

不失一般性,本文假设生成器正在生成用户可以在目标域d_t 中单击的项目。首先,使用特定域屏蔽编码器处理目标域序列X_t,对目标域d_t中的行为进行随机屏蔽,如下:

13c7802fc0b00901dd4b869d7011c4cd.png

该公式表示序列中pos_t 这些位置的行为被[mask] token 替换,这样特定于域的masked 编码器迫使生成器在生成目标字段中的候选项时更多地考虑其他字段中的用户行为。

虽然这会丢失关键目标字段的历史行为,使生成器更难生成最合适的假点击项,但它也会加强跨域历史行为与点击之间的特征交互,这有助于多领域决策。领域推荐,尤其是稀疏行为。现场的推荐效果是难以掩饰的。

随后,论文使用平均池化来聚合每个字段中的行为序列(掩码后),并基于Transformer 和领域特定注意力,得到用户在目标字段中的表示h_t 如下:

9744002bc498c388596bebee04ddec5e.png

对于每个候选项e_i,生成器计算的点击概率p为:

7d30f673e85bd64970f62bd69081acbc.png

论文根据生成概率p,选择目标字段中的前k个最近邻项(去除训练集中真实的正例)作为生成器生成的负例输入到判别器。

在判别器中,论文首先使用Transformer特征提取器获取用户在细粒度的特定行为(item)和粗粒度的域(domain)上的特征表示:

6a71624b30bc1cebde57d264b6d8ddd9.png

随后,团队基于知识表示学习中三元组的学习范式设计了两阶段特征迁移:首先,根据用户在多个领域的细粒度和粗粒度偏好,获得用户的整体偏好;然后,根据用户的总体偏好和目标域信息,获取用户在目标域中的偏好。

TransE 等传统知识表示学习方法显式地建模三元组关系。如上所述,对于三元关系(哈姆雷特、作家、莎士比亚),TransE 认为:哈姆雷特+作家=莎士比亚。

因此,用户的细粒度偏好加上粗粒度偏好应该等于用户在通用域中的全局偏好。基于ConvE模型(因为它可以挖掘element-wise特征交互),对于三元组(e_h,r,e_t)有:

141491f5a8a89d920a42bd4f03d72196.png

类似地,在第一次特征传递中,构造一个三元组(用户项目级偏好、用户域级偏好、用户一般偏好),并计算用户一般域中的全局偏好u_g如下:

38609da3427338c845d5ff49c63b226b.png

获得用户总体偏好后,构造第二个三元组(用户总体偏好、目标领域信息、用户特定领域偏好),并进行第二次特征迁移。这个三元组的物理意义是,用户的一般域偏好加上目标域的特征约等于用户在目标域中的偏好(用户域特定偏好),如下:

c2b449ba7130b5ab85d0c356b876abab.png

其中,目标领域特征综合考虑了领域向量和行为向量。与生成器类似,团队根据d_t 中用户的特征表示u_t 计算项目e_i 的点击概率p,如下所示:

32020190704242c356c8c3d8968f2f62.png

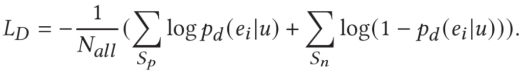
模型判别器优化如下:

c545532ec3b78cf879a8ae475f363d1b.png

生成器基于REINFORCE 强化学习进行优化:

08c38d03a9af87d868db4bf76f58f860.png

团队还提出了MMD损失,其目的是使生成器生成的物品与真实物品不完全一致(否则会干扰判别器的训练),如下:

78c08da8d86bef084f0fdf34e774f0d6.png

MMD损失是根据推荐系统的特点来设计的:在推荐系统中,绝大多数item并没有真正暴露出来,团队假设所有没有被用户点击的item都是负例;还有很多与被点击的商品特别相似的假点击商品。被同一用户点击的概率很高(比如不同自媒体账号发布的同一话题的新闻/视频等),这也是推荐系统item-CF的本质。

因此,团队选择添加MMD 损失,以便GAN 可以生成更加多样化、相似但不完全相同的项目作为判别器的负例。

最后将三个损失相加得到最终的AFT损失,如下:

c8588a21d023a0e3dc213582f64593fe.png

AFT模型的判别器在线部署。更多模型和在线详情请参考论文第三部分和第四部分。

团队在公共数据集和微信看一看数据集上进行了实验。结果表明,该模型在多领域推荐方面取得了显着的改进:

18c5222bad8edd979fd21c7c0bec337e.png

图3:AFT离线结果

此外,论文还对微信上的多个在线推荐场景进行了A/B实验,也取得了显着的改进:

af88bf860c200442c8b84b8b15f4d6bd.png

图4:AFT在线实验结果

消融实验也证明了模型各模块的有效性:

338330e51b7be035e29619ee6e0481be.png

图5:AFT消融实验

最后,论文还对模型参数进行了详细分析,探讨了不同掩码比例和假点击项数对模型效果的影响:

342e2b0b643f08b2b430ffba0e9018b4.png

图6:AFT参数实验

总的来说,本文提出了一种针对多域推荐任务的特征迁移的AFT 模型。它基于特定领域的屏蔽编码器增强了跨域特征交互,并设计了两步特征翻译,可以显式地、可解释地对多个领域中不同粒度的用户偏好、项目和领域进行建模。

目前,AFT模型已部署在微信看看的多领域推荐模块中。我们每天用微信看看的时候都会用到这个模型。

对于未来,团队表示非常看好基于对抗和知识表示学习的跨领域特征交互的思路,并计划进行进一步的探索。