为知笔记Markdown语法全解 为知笔记MD语法全效果预览

9158APP 0

在微知笔记上使用Markdown语言做笔记是一件很愉快的事,但是你掌握了这种轻量级笔记语言的全部用法了吗?本文小编将为大家带来微知笔记Markdown语法的大致介绍以及各平台的预览效果展示。

如果你还想学习如何在微知笔记中添加Markdown笔记,可以点击查看MD笔记的初级使用教程。

点击查看==》如何使用markdown做电脑笔记

微知笔记Markdown语法完整解决方案及效果预览:

1.在正文前插入1~6#

# 这是标题1

## 这是标题1

###### 这是标题6

MD标题效果

2.有序列表:正常输入序号,自动纠错

1. 有序列表

1. 有序列表

4. 有序列表

纠错后的序号效果

3、无序列表:在文字前添加*或-

* 无序列表

* 无序列表

无序列表效果

4.插入图片:[](http://cdn.wiz.cn/wp-content/uploads/2015/06/wiz_logo.png)

5.插入链接:[描述](链接地址)

如:【微知笔记】(http://www.wiz.cn)注意符号均为英文

链接效果展示

6. 粗体、斜体、删除线:

粗体:在文字前后添加**(注意符号与文字之间不能有空格)

斜体:在文本前后添加*

删除线:在文本前后添加~~

**大胆的**

*斜体*

~~删除线~~

粗体斜体删除线效果

7、引文:正文前添加引用效果

8. 形式:

|微知笔记|更新|版本|

|------------|------------|--------|

|为知笔记|降价|最新|

表格效果

9.代码框:代码前后添加```

````

整数i=0;我=1;

for (int i=0; i 100; i++)

{

printf('你好降价!\n');

}

````

代码框效果

10.内容:在顶部添加[TOC],与##一起使用

[目录]

### 什么是Markdown

####降价的好处

目录效果

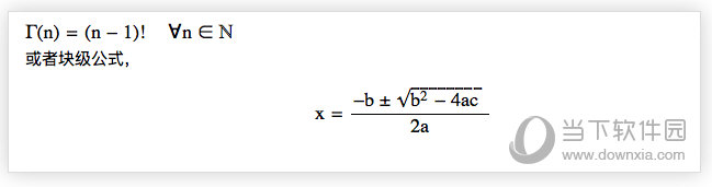
11.数学公式编辑:涉及Mathjax语法

可以创建内联公式,例如:$\Gamma(n)=(n-1)!\quad\forall n\in\mathbb N$

或块级公式,

$$ x=\dfrac{-b \pm \sqrt{b^2 - 4ac}}{2a} $$

数学公式效果

12.流程图:稍复杂,请仔细观看示例

````流

st=开始:开始

e=结束:结束

op1=操作:我的操作

sub1=子程序:我的子程序

cond=条件:是还是否?

io=输入输出:抓住一些东西.

st-op1-条件

条件(是)-io-e

cond(无)-sub1(右)-op1

````

流程图效果

流程图语法详细解释:http://adrai.github.io/flowchart.js/

13、时序图:

````序列

爱丽丝-鲍勃:你好,鲍勃,你好吗?

鲍勃的右注:鲍勃认为

鲍勃--爱丽丝:我很好,谢谢!

````

时序图效果

序列图语法详细解释:https://bramp.github.io/js-sequence-diagrams/

好了,以上就是微知笔记Markdown的全部预览效果了。您是否意识到这种轻量级笔记语言的强大功能?当然,我们只需要掌握之前的浓度就可以满足日常生活中做笔记的需要。